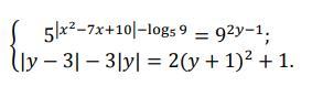
Ответы
Ответ дал:
5
Ответ:
Объяснение:
-----------------------------------------
Приложения:


Angelina598:
https://znanija.com/task/33569819 помогите пожалуйста (обществознание)
Вас заинтересует
1 год назад
1 год назад
1 год назад
1 год назад
3 года назад
3 года назад
8 лет назад
8 лет назад