• Предмет: Алгебра
  • Автор: Mi9478
  • Вопрос задан 2 года назад

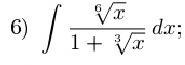
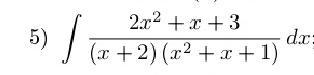
Как решить данные интегралы?

Приложения:

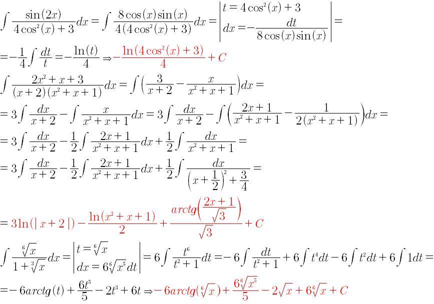
Ответы

Ответ дал: igundane
0

////////////////////////////

Приложения:
Вас заинтересует