• Предмет: Алгебра
  • Автор: girlinred93
  • Вопрос задан 2 года назад

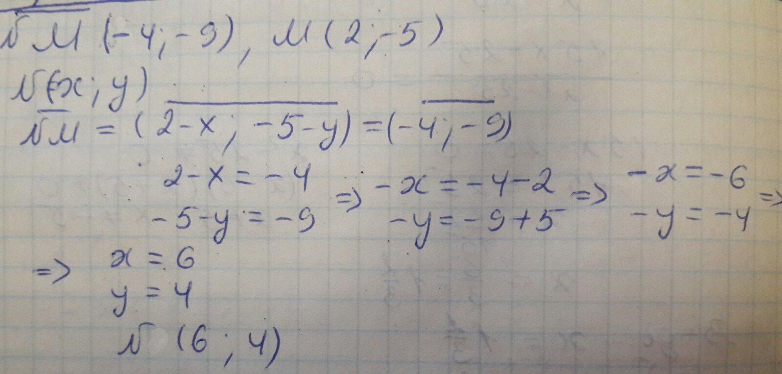
Известно что вектор NM(-4;-9),найдите координаты точки N,если М(2;-5)​

Ответы

Ответ дал: PVJ
4

Відповідь:

Пояснення:

Приложения:
Вас заинтересует