Ответы
Ответ дал:
0
Ответ:
Пошаговое объяснение:
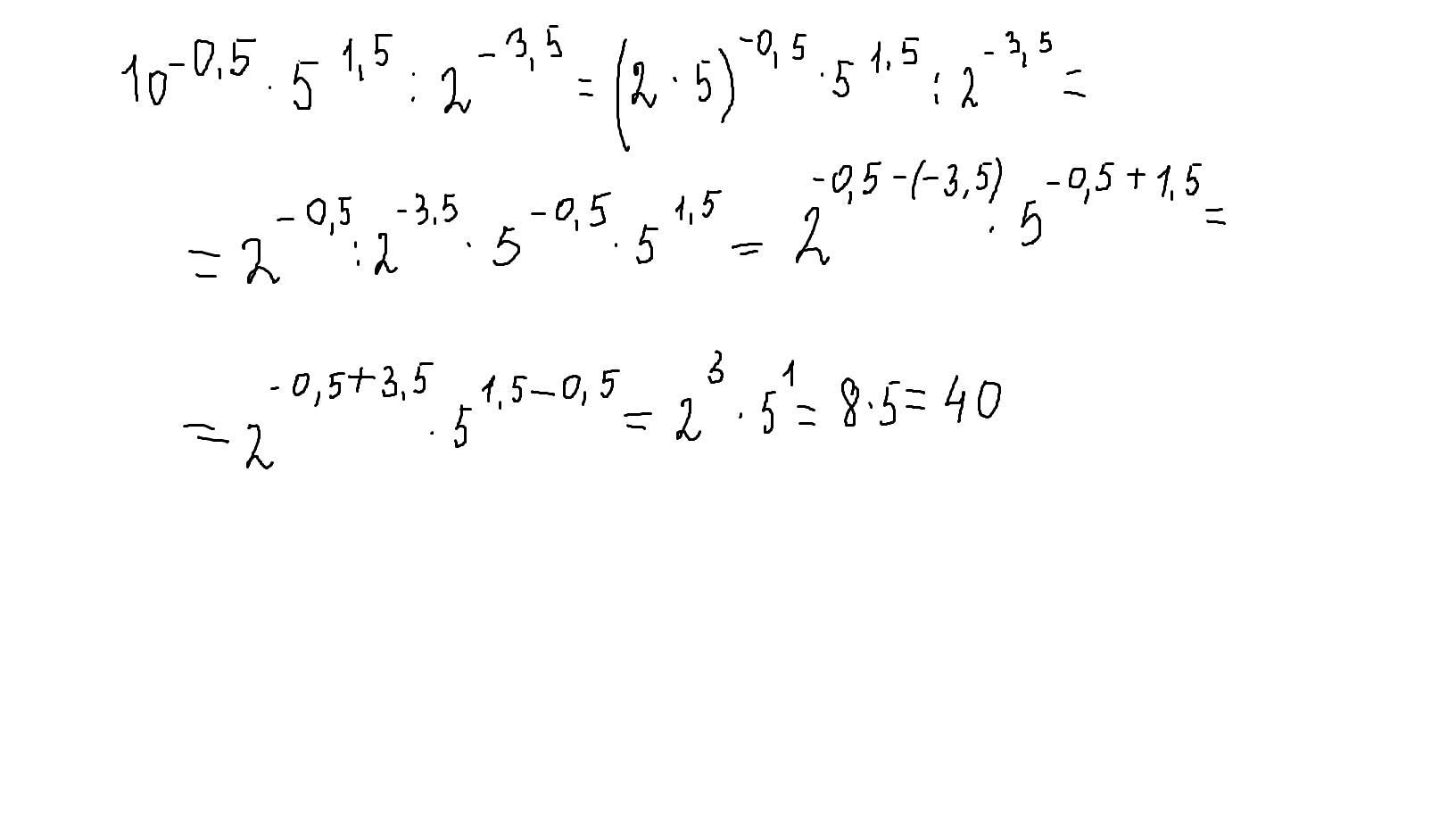
нужно применять св-во степеней с одинаковым основанием
Приложения:

Вас заинтересует
1 год назад
1 год назад
3 года назад
3 года назад