• Предмет: Алгебра
  • Автор: sennikov04
  • Вопрос задан 2 года назад

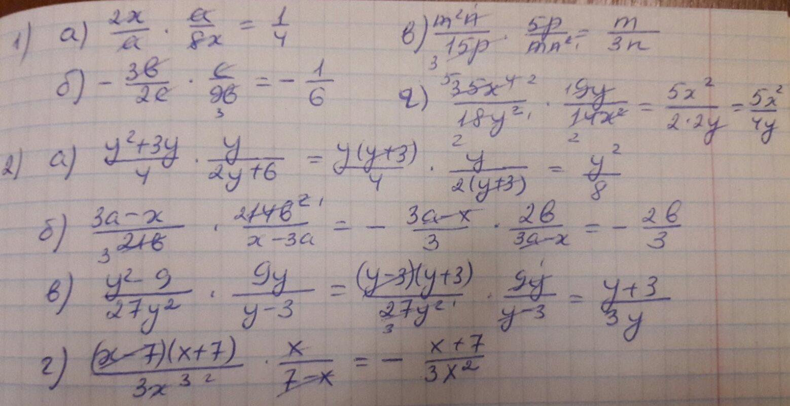
Умножение дробей. выполните умножение:

Приложения:

Ответы

Ответ дал: PVJ
6

Відповідь:

Пояснення:

Приложения:

sennikov04: спасибо за решение.только можете подсказать как у вас под номером 2)б)получился - перед 3a-x/3*2b/3a-x ?
PVJ: Во втором дробе в знаменателе было х-3а, а я поменяла на 3а-х, вынесла -1
sennikov04: благодарю
Вас заинтересует