Ответы
Ответ дал:
2
Ответ:
Объяснение:
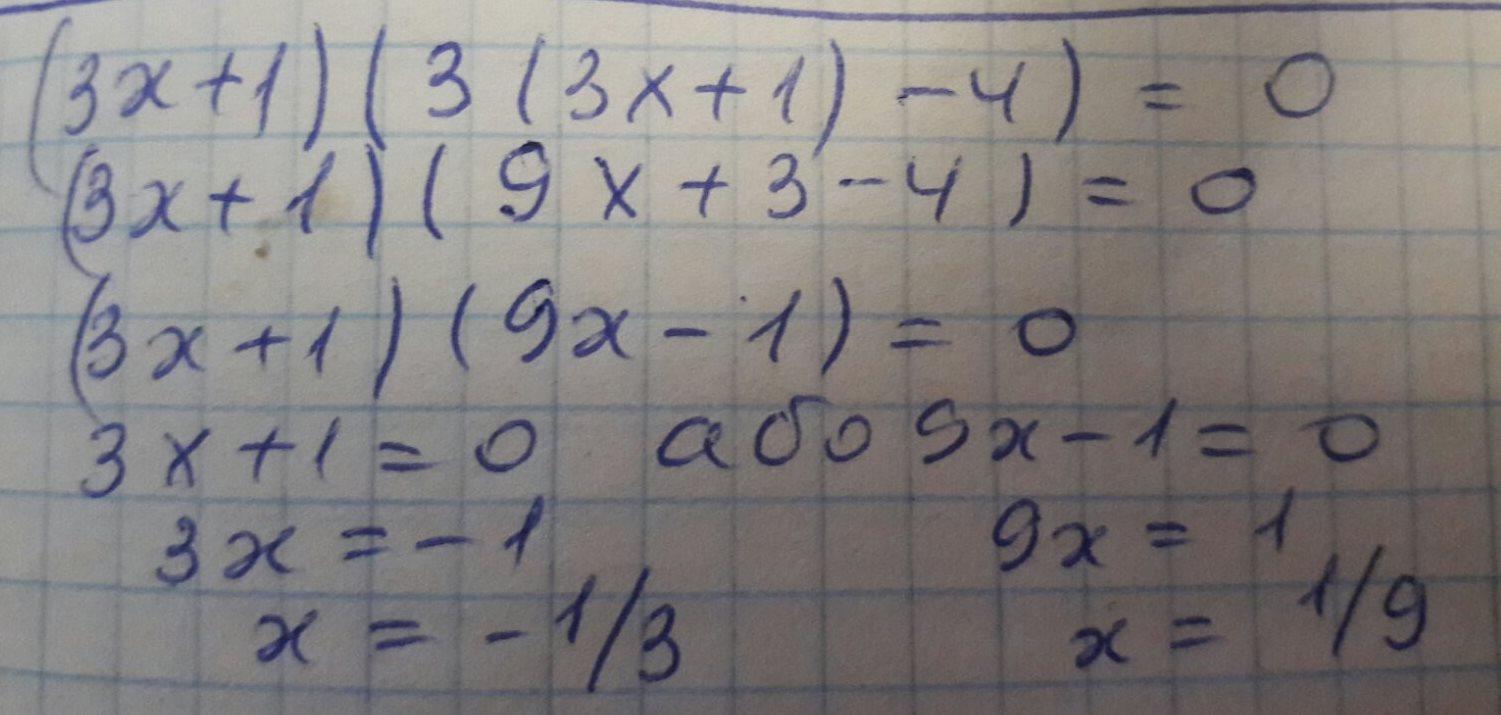
3(9х^2+6х+1)-12х-4=0
27х^2+18х+3-12х-4=0
27х^2+6х-1=0
Д=144
Х1=-1/3
Х2=1/9
Olga8128:
По-моему, удобнее разложить на множители и вынести (3х+1). Но и так все правильно
Ответ дал:
5
Відповідь:
Пояснення:
Приложения:

Вас заинтересует
1 год назад
3 года назад
3 года назад
8 лет назад
8 лет назад