Помогите пожалуйста
10-11 класс
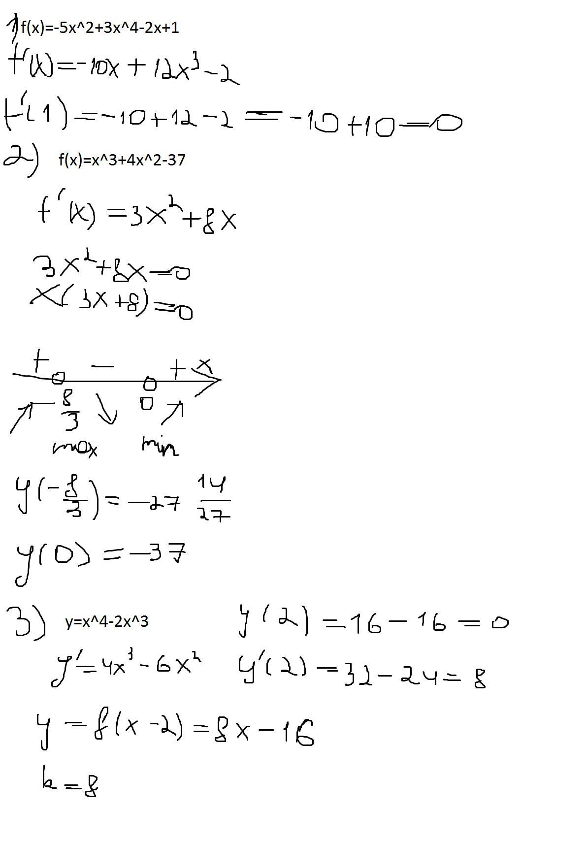
1.Найти значение производной функции
f(x)=-5x^2+3x^4-2x+1 в точке x=1
2. Найти промежутки возрастания и убывания функции. Точки экстремума
f(x)=x^3+4x^2-37
3.Найти угловой коэффициент касательной к графику функции
y=x^4-2x^3 в точке x0=2
Ответы
Ответ дал:
0
Ответ:
Пошаговое объяснение:
вот и все
Приложения:
Вас заинтересует
2 года назад
2 года назад
2 года назад
2 года назад
3 года назад
3 года назад
9 лет назад
9 лет назад