• Предмет: Алгебра
  • Автор: andreyorlow2509
  • Вопрос задан 2 года назад

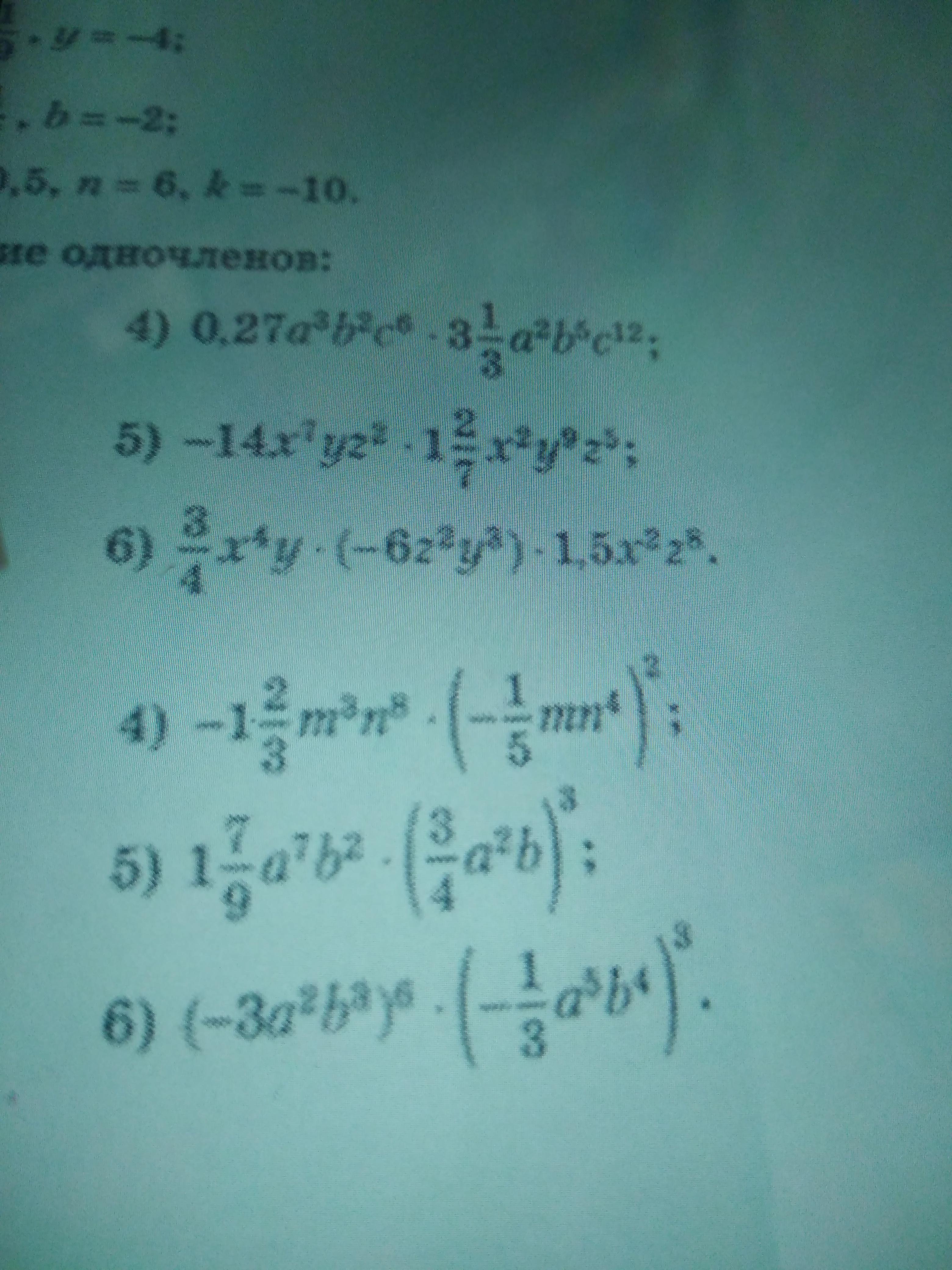
Помогите решить 4,5,6 последние пожалуйста.

Приложения:

Ответы

Ответ дал: Аноним
0

Объяснение:

-1 2/3 •m^3 •n^8 •(-1/5 •mn^4)^2=-8/3 •m^3 •n^8 •1/25 •m^2 •n^8=-8/75 •m^(3+2) •n^(8+8)=-8/75 •m^5 •n^16

1 7/9 •a^7 •b^2 •(3/4 •a^2 •b)^3=4^2 •3^(-2) •a^7 •b^2 •3^3 •4^(-3) •a^6 •b^3=4^(2-3) •3^(-2+3) •a^(7+6) •b^(2+3)=3/4 •а^13 •b^5=0,75a^13 •b^5

(-3a^2 •b^3)^6 •(-1/3 •a^5 •b^4)^3=3^6 •a^12 •b^18 •(-3)^(-3) •a^15 •b^12=-3^(6-3) •a^(12+15) •b^(18+12)=-3^3 •a^27 •b^30=-27a^27 •b^30

Вас заинтересует