• Предмет: Физика
  • Автор: Kot09l
  • Вопрос задан 2 года назад

решите пожалуйста


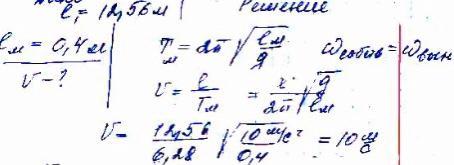
Определи, при какой скорости поезда математический маятник длиной 22 см, подвешенный в вагоне, особенно сильно раскачивается, если длина рельс 12,8 м. При расчетах прими π=3,14, g=9,8 м/с².
(Ответ округли до сотых.)

Ответы

Ответ дал: sonya6715
7
Держи,вроде как это тот ответ
Приложения:

Kot09l: Спасибо :)
sonya6715: ;)
Вас заинтересует