• Предмет: Алгебра
  • Автор: picabu2
  • Вопрос задан 2 года назад

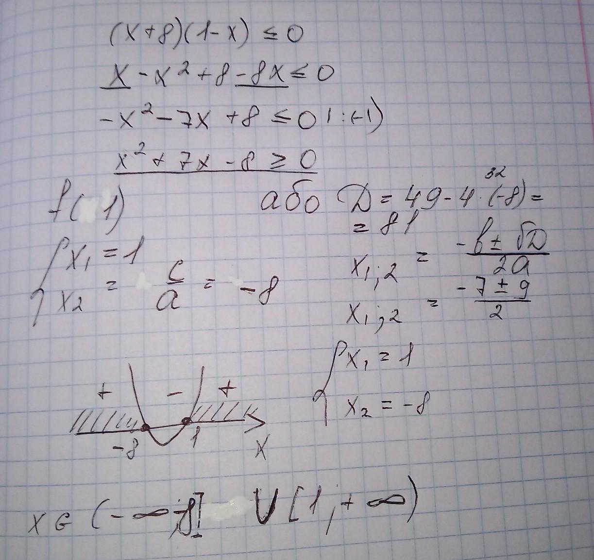
а) (2-x)•(x-4)>0
б) (x+8)•(1-x)≤0
решите пожалуйста через дискриминант​


Edward2121: можно с метод интервалов

Ответы

Ответ дал: millennium2O2
1

Ответ:

Надеюсь все понятно, обращайся).

Приложения:

Katie004: Там в первом ошибка. Надо больше нуля чтобы было.
millennium2O2: мы поделили все на -1 , чтобы избавиться от минуса перед х^2,когда мы совершаем деление на -1,знаки меняются,и уже исходя из того что получилось,мы и пишем промежуток.
Katie004: А окей, просто тоже эту тему учим и я не сильно понимаю, спасибо
tyt20: Пиши в следущий раз корни уравнения в совокупности, а не в системе просто это разные понятия в математике)
Ответ дал: tyt20
1
...........................
Приложения:
Вас заинтересует