• Предмет: Алгебра
  • Автор: idel655
  • Вопрос задан 2 года назад

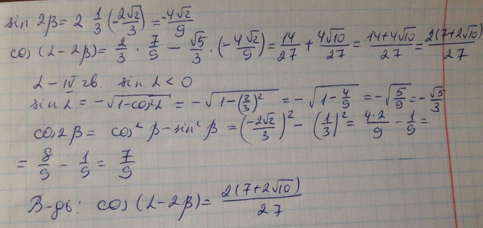
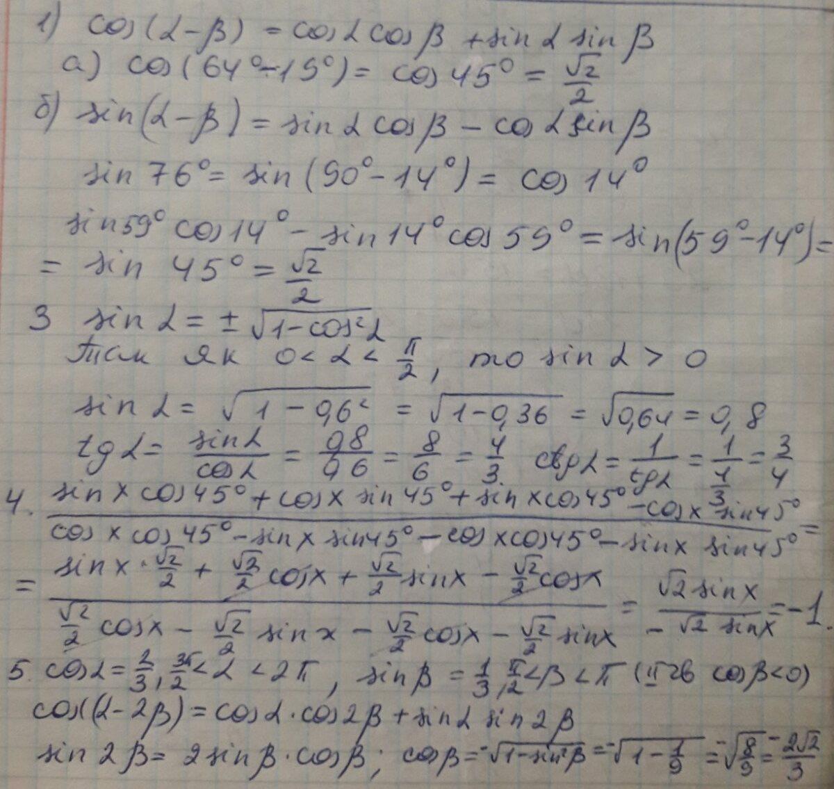
Решите с подробным описанием.

Приложения:

Ответы

Ответ дал: sabinanurakhmet9127
0

___________________________________

Приложения:
Ответ дал: PVJ
0

Відповідь:

Пояснення:

Приложения:
Вас заинтересует