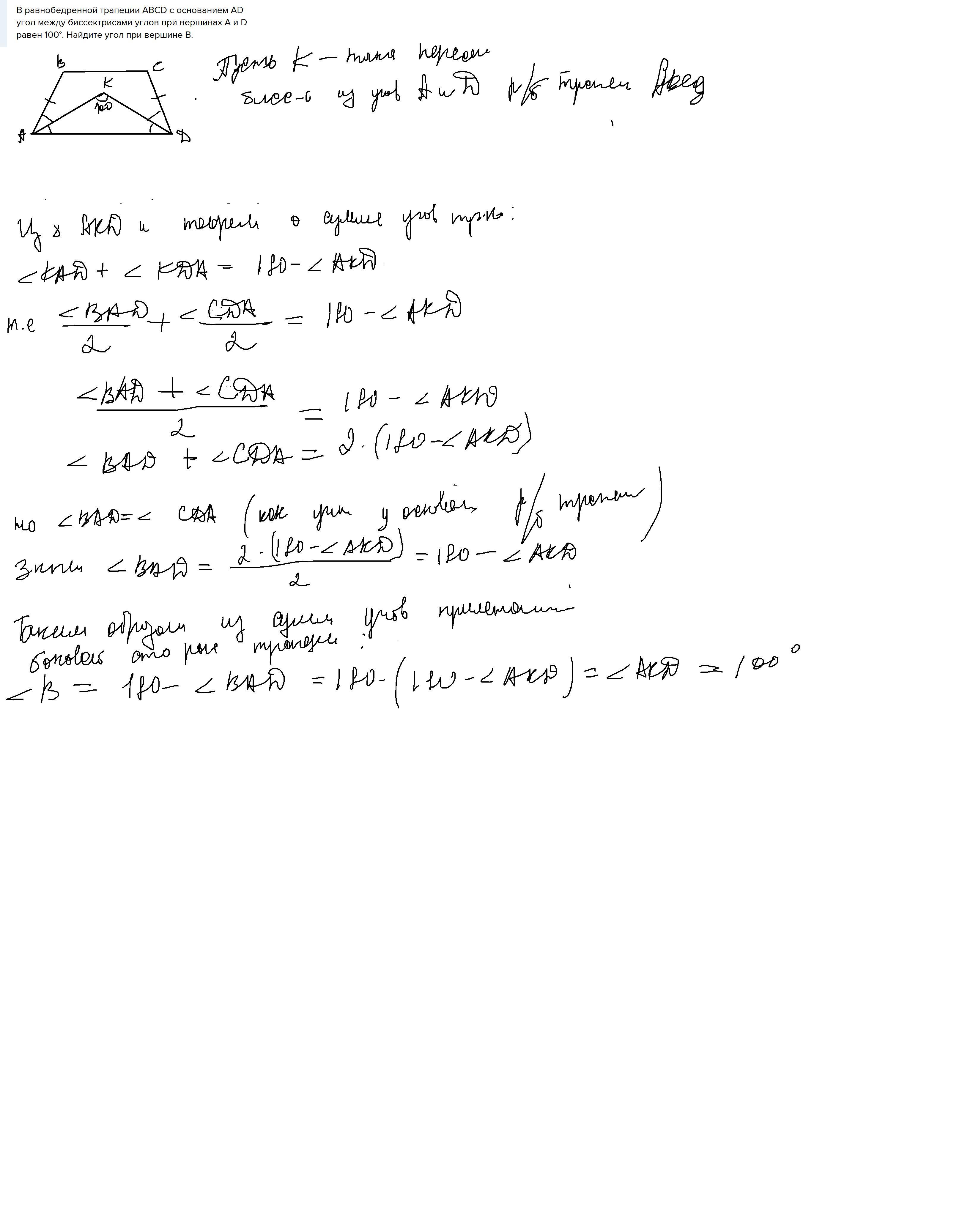
В равнобедренной трапеции ABCD с основанием AD угол между биссектрисами углов при вершинах А и D равен 100°. Найдите угол при вершине В.
Ответы
Ответ дал:
1
Ответ:
Объяснение:В равнобедренной трапеции ABCD с основанием AD угол между
Приложения:

Вас заинтересует
1 год назад
1 год назад
1 год назад
1 год назад
3 года назад
3 года назад
8 лет назад