• Предмет: Алгебра
  • Автор: kseniaforever39
  • Вопрос задан 2 года назад

решите плиз. очень срочно
даю 15 баллов
заранее спасибо)))
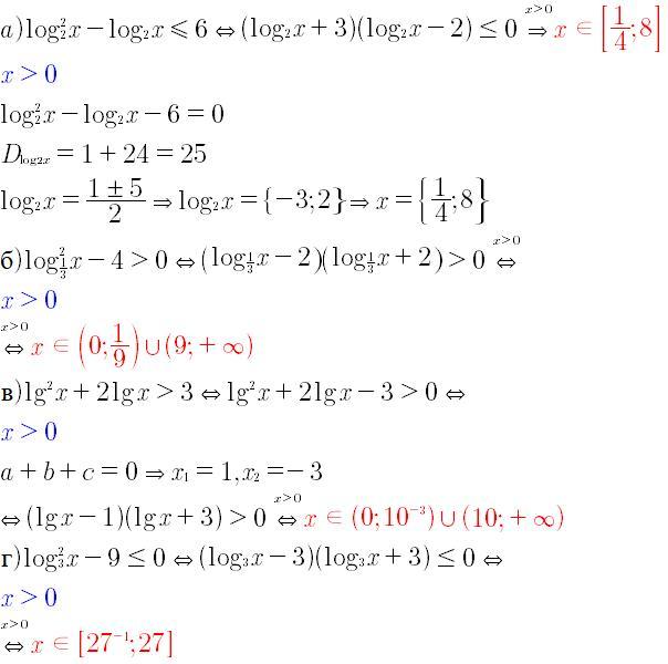
номер 527 (г)​

Приложения:

Ответы

Ответ дал: igundane
0

Первое неравенство,разложение на множители

(log_2(x)-3)(log_2(x)+2)

Приложения:

Angelina598: https://znanija.com/task/33569819 помогите пожалуйста (обществознание)
Ответ дал: Аноним
1

Ответ: во вложении Объяснение:

Приложения:

Angelina598: https://znanija.com/task/33569819 помогите пожалуйста (обществознание)
Вас заинтересует