• Предмет: Алгебра
  • Автор: idel655
  • Вопрос задан 2 года назад

Решите с подробным описанием

Приложения:

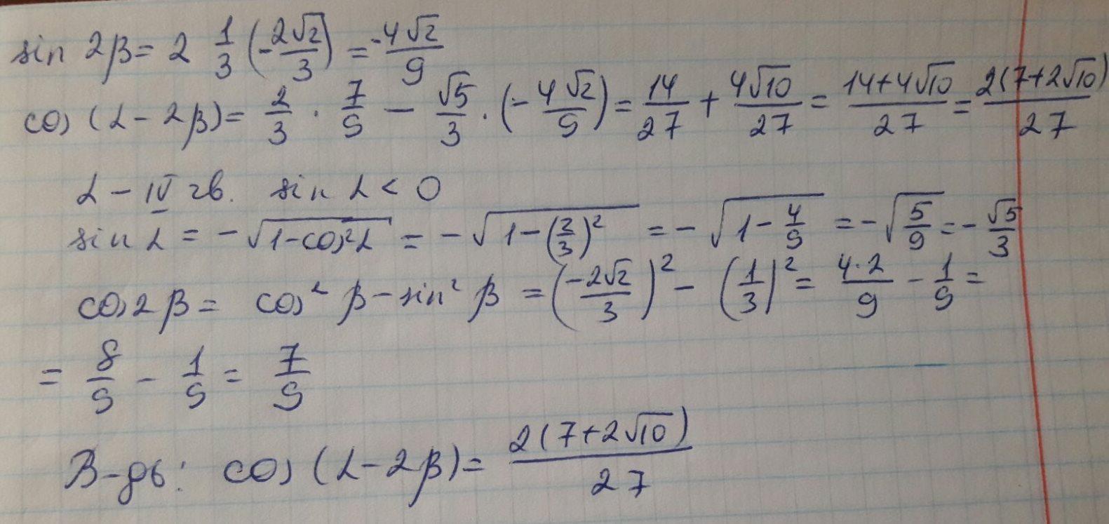
Ответы

Ответ дал: PVJ
0

Відповідь:

Пояснення:

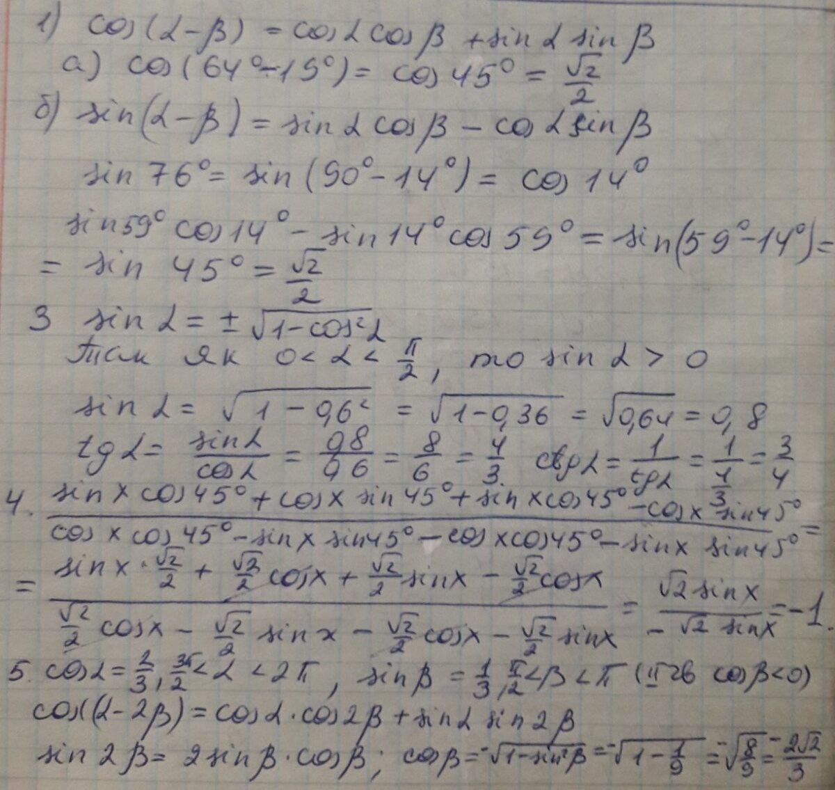
Приложения:
Вас заинтересует