• Предмет: Математика
  • Автор: aishakudadkdjdj
  • Вопрос задан 2 года назад

ПОМОГИТЕ ПЛЛЗЗЗ ПЛЛЛЗЗЗЗ​

Приложения:

Ответы

Ответ дал: p875524
0

Ответ:

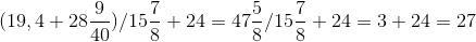
1) 5.4 (5 2/5)

2) 27

Приложения:
Вас заинтересует