• Предмет: Алгебра
  • Автор: merkulovvva
  • Вопрос задан 2 года назад

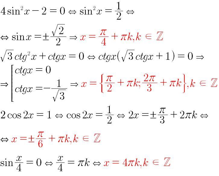
Решите уравнения: 4sin^2 x-2=0;корень 3 ctg ^2 x+ ctg x=0

Решите уравнения:2cos2x=1;sin x/4=0

Ответы

Ответ дал: igundane
0

/////////////////////////

Приложения:
Вас заинтересует