• Предмет: Математика
  • Автор: olegivanov1999
  • Вопрос задан 2 года назад

Помогите , умоляю
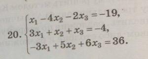
X1-4x2-2x3=-19

Приложения:

Ответы

Ответ дал: Kristian03
1

Пошаговое объяснение:

1)Умножить обе части первого уравнения на 3 получится

3x1-12x2-6x3=-57

2) Сложить 3x1-12x2-6x3=-57 с треттм уравнение - 3x1+5x2+6x3=36. Получится - 7x2=-21, решаем и x2=3

3)Сложить второе и третье уравнения.

Получится 6x2+7x3=32.

Решение x2=3, x3=2.

4) Подставить x2 и x3 в первое уравнение.

x1-4x2-2x3=-19

Получится x1=-3

Ответ : x1= - 3, x2 = 3 x3 = 2

Вас заинтересует