• Предмет: Алгебра
  • Автор: Seapro99
  • Вопрос задан 2 года назад

Решите пожалуйста с объяснением :

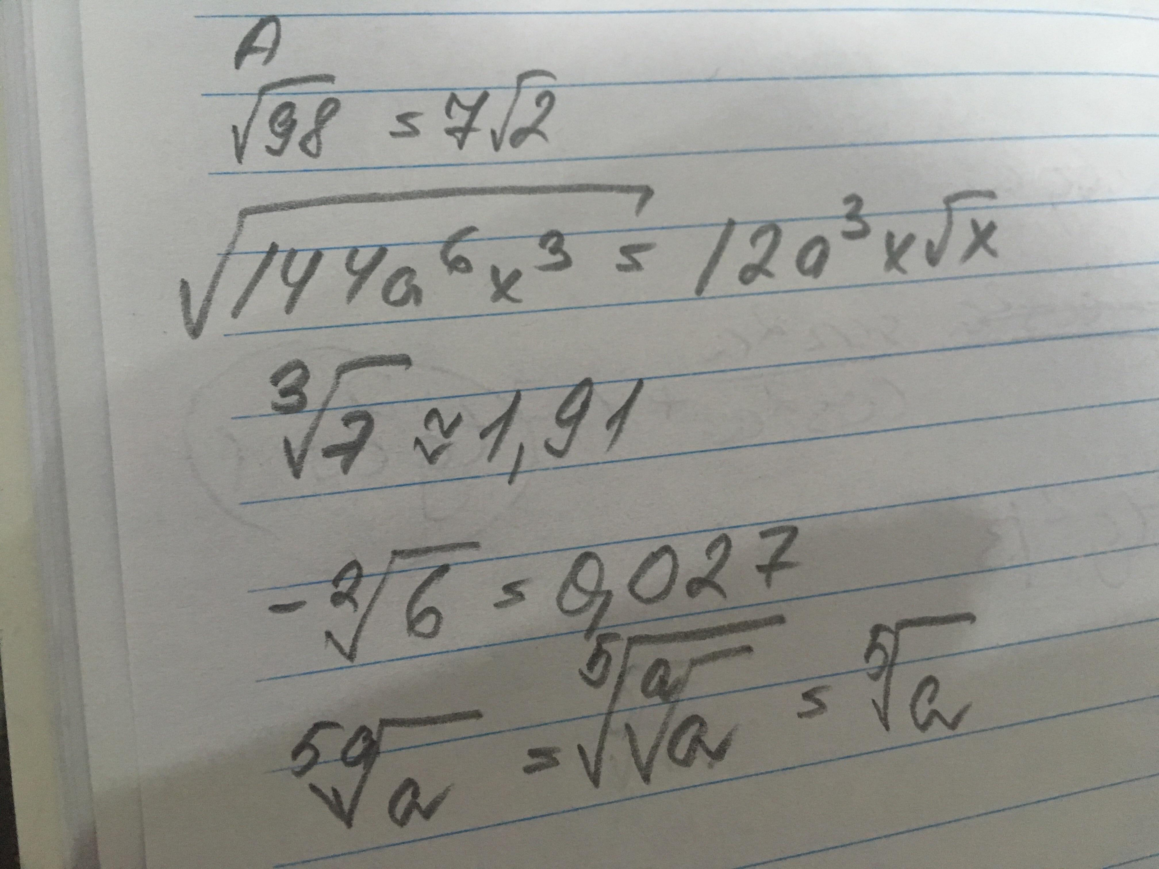
А)
 \sqrt{98 = }
Б)
 \sqrt{144 \:  {a}^{6} \:  {x}^{3 = }  }
В)
 \sqrt[3]{7 = }
Г)
 \sqrt[ - 2]{6 = }
Д)
 \sqrt[5a]{a}
Е)
 \sqrt[5a]{a = }

Ответы

Ответ дал: lizalu02
0

Ответ:

Объяснение: все в закрепе

Приложения:
Вас заинтересует