• Предмет: Алгебра
  • Автор: asvatolina98
  • Вопрос задан 2 года назад

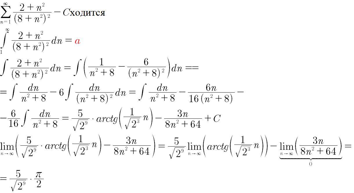
исследовать ряд на сходимость ∞∑n=1 (((2+n^2)/(8+n^2))^2)

Ответы

Ответ дал: Segrif
1

Сходится

\sum\limits_{n=1}^{s} \frac{2+n^2}{(8+n^2)^2} < \sum\limits_{n=1}^{s} \frac{2+n^2}{(2+n^2)^2} = \sum\limits_{n=1}^{s} \frac{1}{2+n^2} < 1 + \sum\limits_{n=2}^{s} \frac{1}{n^2} < 1 + \sum\limits_{n=1}^{s} \frac{1}{n(n+1)} = 1 + \sum\limits_{n=1}^{s} (\frac{1}{n} - \frac{1}{n+1}) =2 - \frac{1}{s+1} < 2

Ответ дал: igundane
1

Использовал интегральный признак Коши

Почему ряд сходится ,если я даже досчитал интеграл?

Интегральный признак Коши говорит ,что если у нас получается число ,то ряд сходится ,так если я просто подставлю 1 вместо n очевидно будет число ,теперь мне нужно лишь проверить ,что будет если "Подставлю" бесконечность?

Надо просто найти предел и всё

Я убедился ,что интеграл даёт число ,следует ,что ряд сходится

Приложения:
Вас заинтересует