Ответы
Ответ дал:
2
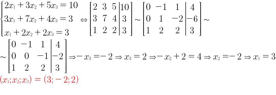
Первый переход!
Умножил третью строчку на -2 и прибавил к первой
Умножил третью строчку на -3 и прибавил ко второй
Второй переход!
Прибавил первую строчку ко второй
Я не стал доводить до того ,чтобы диагональ состояла из нулей ,так как уже можно было выразить и просто считать
Приложения:

rrrrtttt01:
А действия те же?
Ответ дал:
0
Ответ: во вложении Объяснение:
Приложения:

Вас заинтересует
1 год назад
1 год назад
3 года назад
3 года назад
8 лет назад
8 лет назад