Ответы
Ответ дал:
0
Ответ:
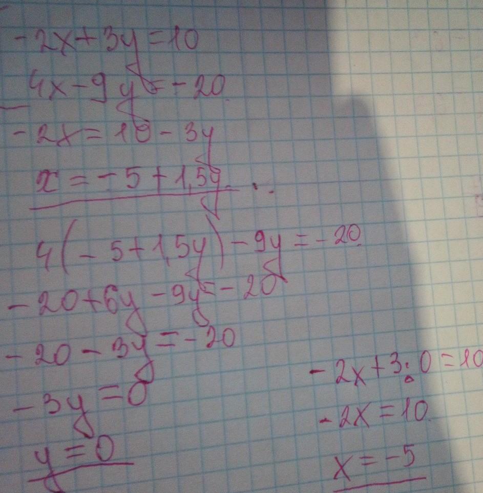
на фотографии вроде бы все понятно
Приложения:

123459820:
спасибо
Ответ дал:
0
Ответ:
Пошаговое объяснение:
Приложения:

Вас заинтересует
1 год назад
1 год назад
1 год назад
3 года назад
3 года назад
8 лет назад