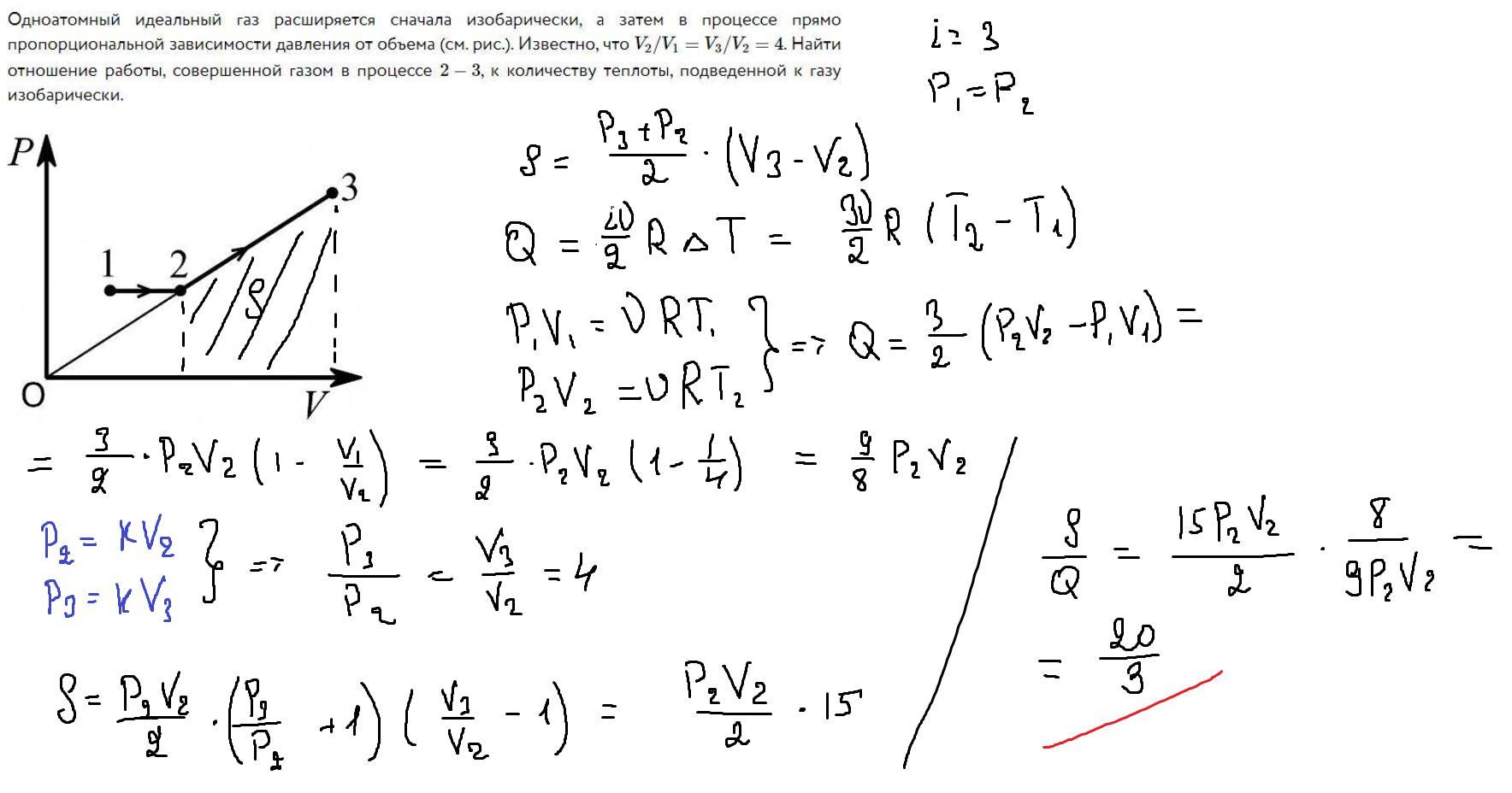
Серьёзная задача на серьёзные баллы. Сам вопрос прикреплён на фотографии. Термостатика.
Приложения:

Ответы
Ответ дал:
0
............................................
Приложения:

zaharevmisha:
Правильный ответ оказался 4, возможно у тебя есть опечатка?
Вас заинтересует
1 год назад
1 год назад
1 год назад
1 год назад
3 года назад
3 года назад
8 лет назад