Ответы
Ответ дал:
0
Відповідь:
Пояснення:
Приложения:

Ответ дал:
0
Ответ:
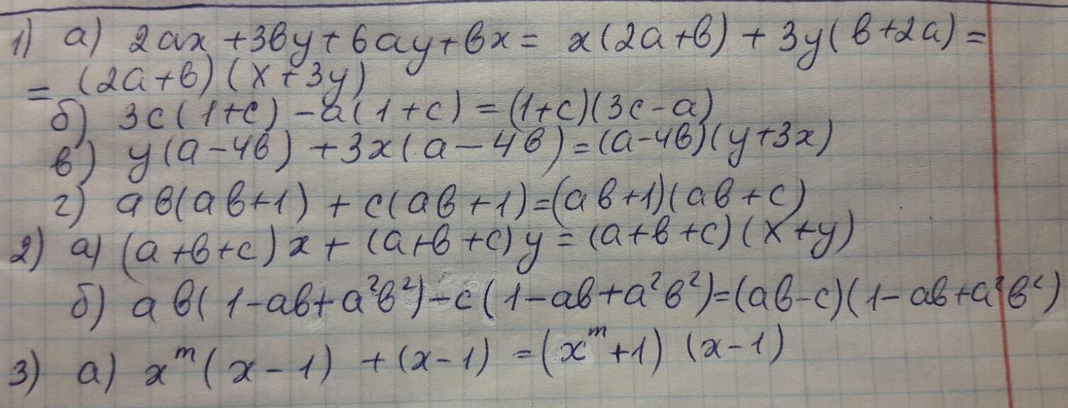
Объяснение:1)a)=(2ax+bx)+(3by+6ay)=x(2a+b)+3y(b+2a)=(2a+b)(x+3y);
б)=(3c+3c²)-(a+ac)=3c(1+c)-a(1+c)=(1+c)(3c-a);
в)=(ay-4by)+(3ax-12bx)=y(a-4b)+3x(a-4b)=(a-4b)(y+3x);
г)=(a²b²+ab)+(abc+c)=ab(ab+1)+c(ab+1)=(ab+1)(ab+c).
2)a)=(ax+bx+cx)+(ay+by+cy)=x(a+b+c)+y(a+b+c)=(a+b+c)(x+y);
б)=(ab-c)-(a²b²--abc)+(a³b³-ca²b²)=(ab-c)-ab(ab-c)+a²b²(ab-c)=(ab-c)(1-ab+a²b²).
3) = (x^(m+1)-x^m)+(x-1)=x^m(x-1)+(x-1)=(x-1)(x^m+1).
Вас заинтересует
1 год назад
1 год назад
1 год назад
1 год назад
3 года назад
3 года назад
8 лет назад