Продифференцировать данные функции. Используя правилами дифференцирования. Помогите пожалуйста!
Приложения:

Ответы
Ответ дал:
0
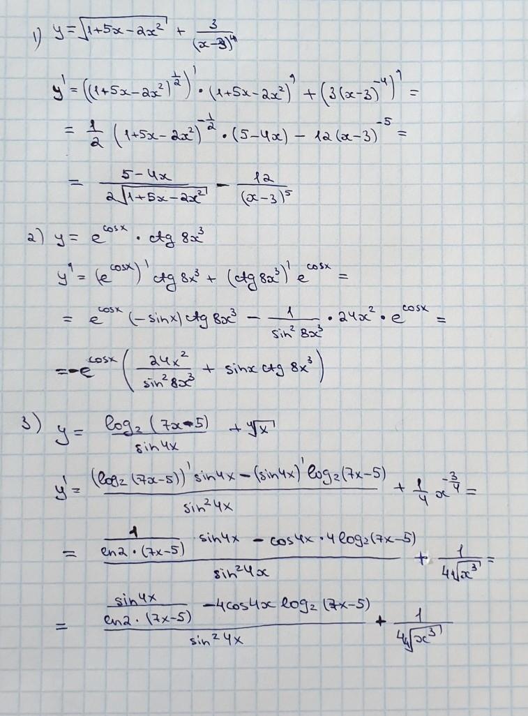
Ответ:
решение на фотографии
Приложения:

Вас заинтересует
1 год назад
1 год назад
3 года назад
8 лет назад
8 лет назад