• Предмет: Алгебра
  • Автор: kinderdaddy
  • Вопрос задан 2 года назад

Помогите пожалуйста ❤️❤️

Приложения:

rahlenko007: какой класс?

Ответы

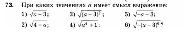
Ответ дал: nematovol2001
1

Ответ:

1) a >= 3

2) a <=4

3) при любом

4) при любом

5) a <= -3

6) a=3

Объяснение:

Выражение внутри корня всегда должна быть больше или равно нулю.

Поэтому 1) (a-3) >=0 из этого получаем a >= 3

Если выражение четной степени то при любом так как четное степень числа всегда положительно

Вас заинтересует