Ответы
Ответ дал:
0
////////////////////////////
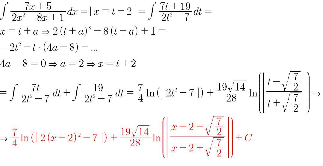
Приложения:

Ответ дал:
1
Ответ: во вложении Объяснение:
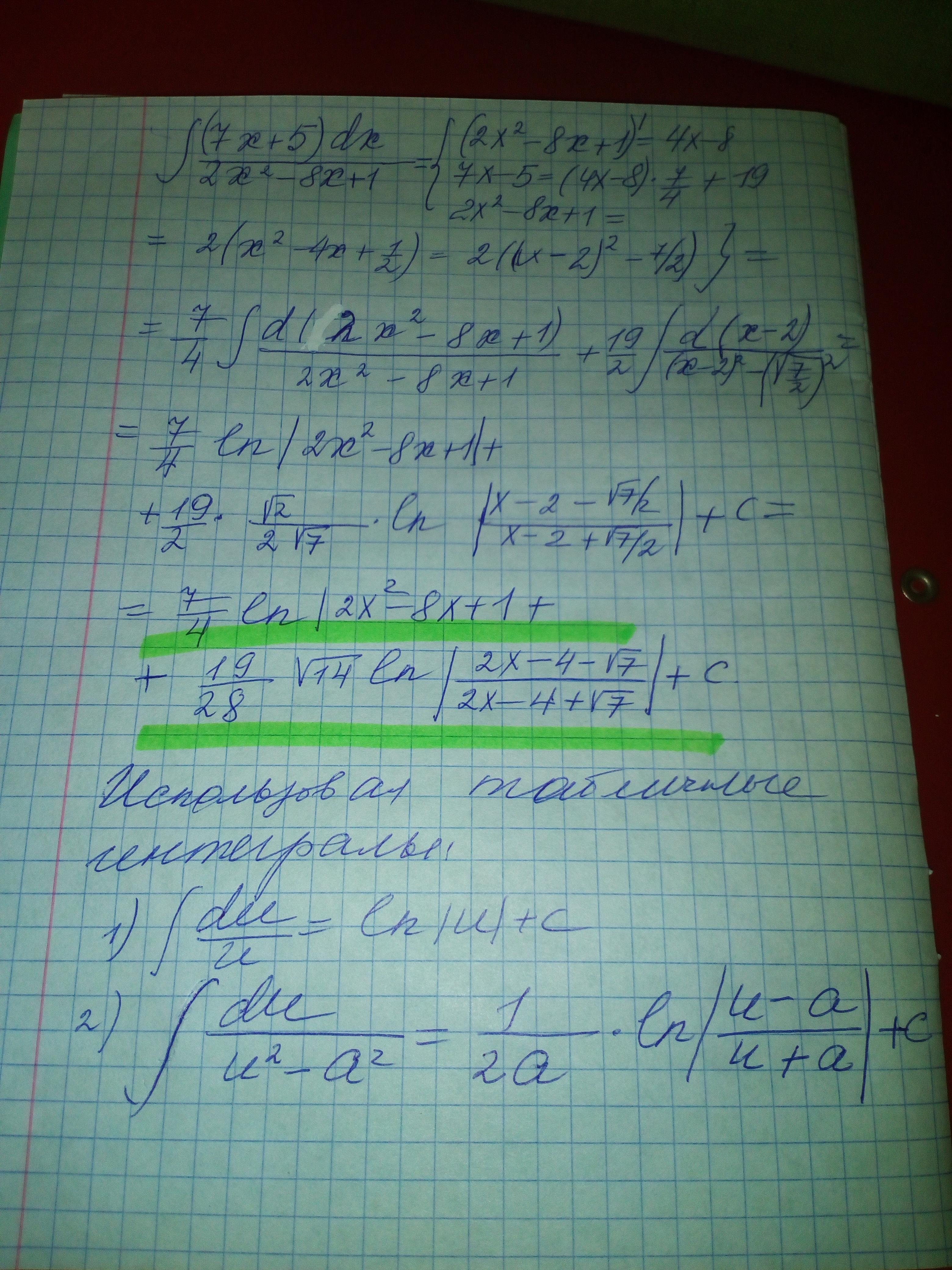
Приложения:

Вас заинтересует
1 год назад
1 год назад
1 год назад
3 года назад
3 года назад
8 лет назад