• Предмет: Алгебра
  • Автор: oo560868
  • Вопрос задан 2 года назад

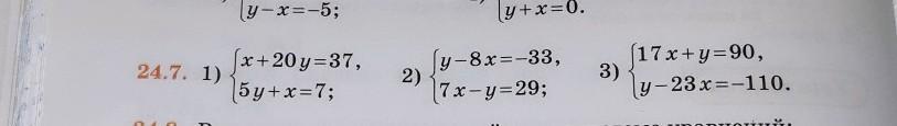
помогите пожалуйста Алгебра 24.7 заранее спасибо ​

Приложения:

Ответы

Ответ дал: nematovol2001
2

Ответ:

Всё решил в рисунке.

Объяснение:

Приложения:

oo560868: спасибо большое
nematovol2001: nz
Вас заинтересует