• Предмет: Алгебра
  • Автор: ansarberikbosyn
  • Вопрос задан 2 года назад

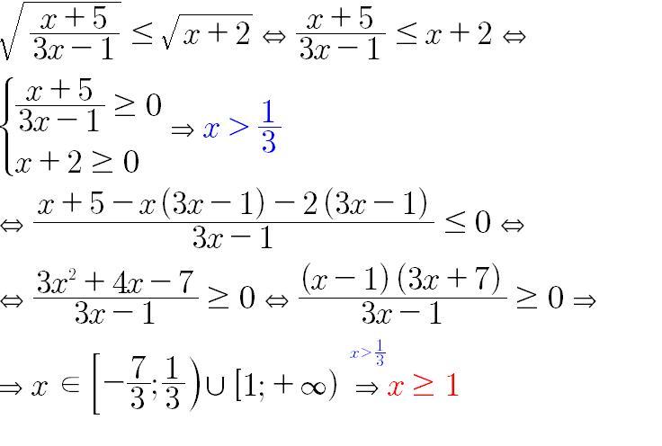
наименьшее интегральное решение​

Приложения:

Ответы

Ответ дал: igundane
2

///////////////////////////////////

Приложения:
Вас заинтересует