Ответы
Ответ дал:
1
Квадратное уравнение не имеет решения ,когда дискриминант меньше нуля
Приложения:

askasmirnova:
a^2+4ab-5b^2-5a-7b+6=0
Ответ дал:
1
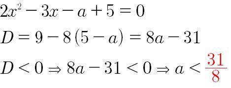
2x^2-3x-a+5=0
D=(-3)^2-4*2(-a+5)
D=-31+8a
-31+8a>0
-31+8a=0
-31+8a<0
A>31/8
-31+8a=0
-31+8a<0
A>31/8
A=31/8
-31+8a<0
A>31/8
A=31/8
A<31/8
A>31/8,2 действительных корня
A=31/8, 1 действительный корень
A<31/8, нет действительных корней
Вас заинтересует
1 год назад
1 год назад
1 год назад
3 года назад
3 года назад
8 лет назад