• Предмет: Алгебра
  • Автор: zolka003
  • Вопрос задан 2 года назад

Подробно, пожалуйста!!! Не с фотомэс!!! Срочно!!!!

Приложения:

Ответы

Ответ дал: igundane
1

///////////////////////////////////////

Приложения:
Ответ дал: qqwairz
1

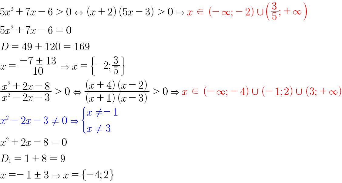
а) 5x^2+7x-6 >0

5x^2 +7x-6 = 0

D = 49 - 4×5×6 = 169

√D = 13

x = -7 + 13/10 = 3/5 = 0.6

x = -7 -13/10 = -2

Ответ: (- бесконечность; -2) (0.6; + бесконечность)

б) x^2+2x-8/x^2-2x-3 >0

x^2 +2x-8 = 0

D = 4 - 4×(-8) = 36

√D = 6

x = -2 + 6/2 = 2

x = -2 -6/2 = -4

x^2-2x-3= 0

D = 4 - 4×(-3) = 16

√D = 4

x = 2+4/2 = 3

x = 2-4/2 = -1

Ответ: (- бесконечность; -4) (-1;2) (3; + бесконечность)

Вас заинтересует