• Предмет: Алгебра
  • Автор: Аноним
  • Вопрос задан 2 года назад

Решить/доказать Алгебра 10 класс
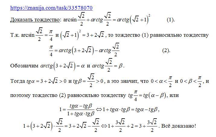
arcSin✓2/2+arcTg✓2/2=arcTg(✓2+1)²

Приложения:

Ответы

Ответ дал: SergFlint
0

Ответ:

Решение в приложении.

Объяснение:

Приложения:
Вас заинтересует