Ответы
Ответ дал:
0
Держи свой тест.......
Приложения:



Ответ дал:
0
2, 3 не правильно.
Ответ дал:
0
в 9 тесте
Ответ дал:
0
тест 9
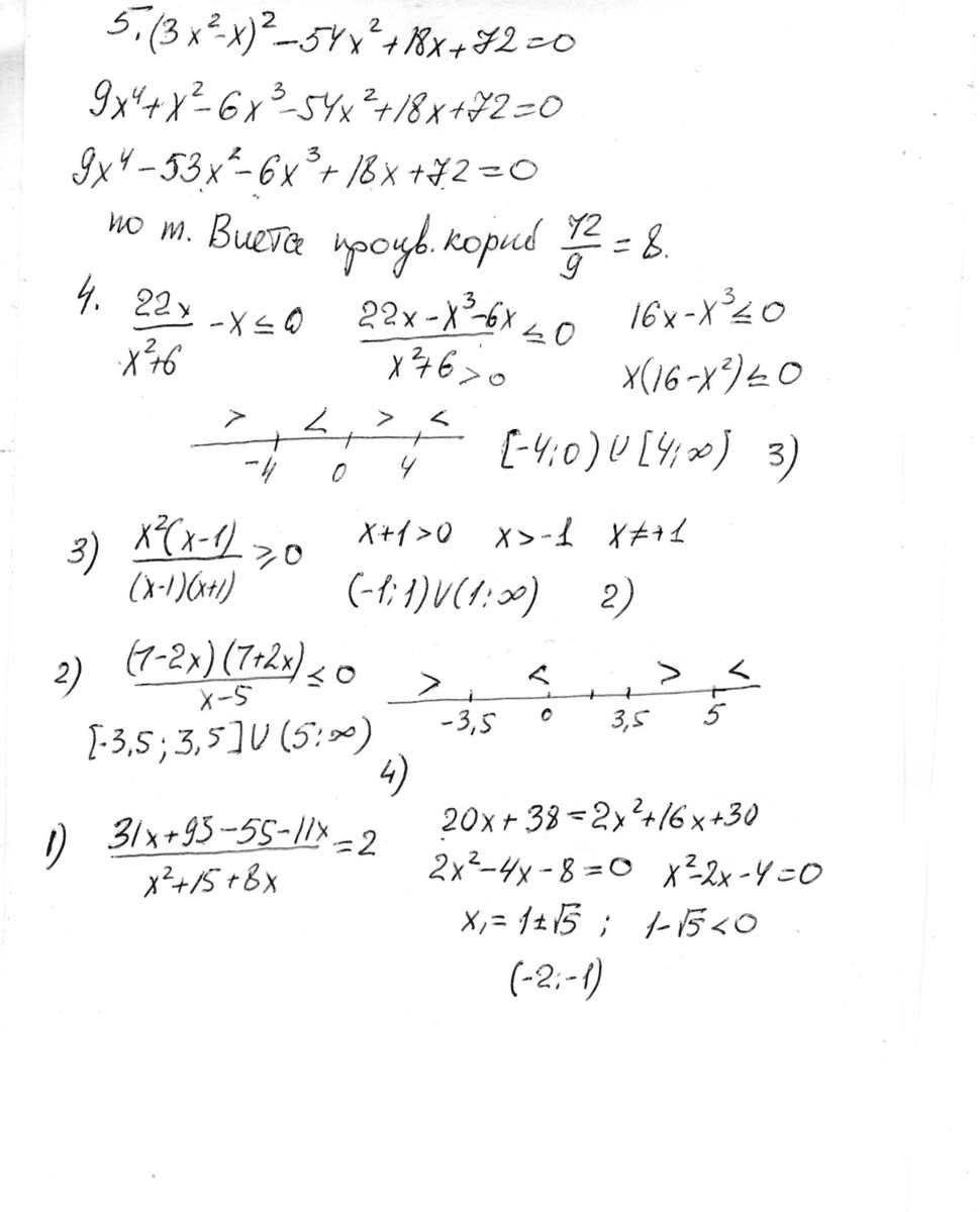
1)
5/(х-1)-5/(x+1) = 10/(x^2-1)=1;x^2=11; x=-КОРЕНЬ(11)~-3,3: ответ 3 (-4;-3)
2)
(25x^2-16)/(3-x)=25(x-0,8(x+0,8)/(3-x)>=0
проверяем методом интервалов, ответ 1
3)
ответ 3
4)
ответ 1
5)
x^2+x=3 или x^2+x=10
x1*x2=-3; x3*x4=-10
ответ 30
6) x^2+x-12<0
решения -3 -2 -1 1 2
ответ 5 целых решений
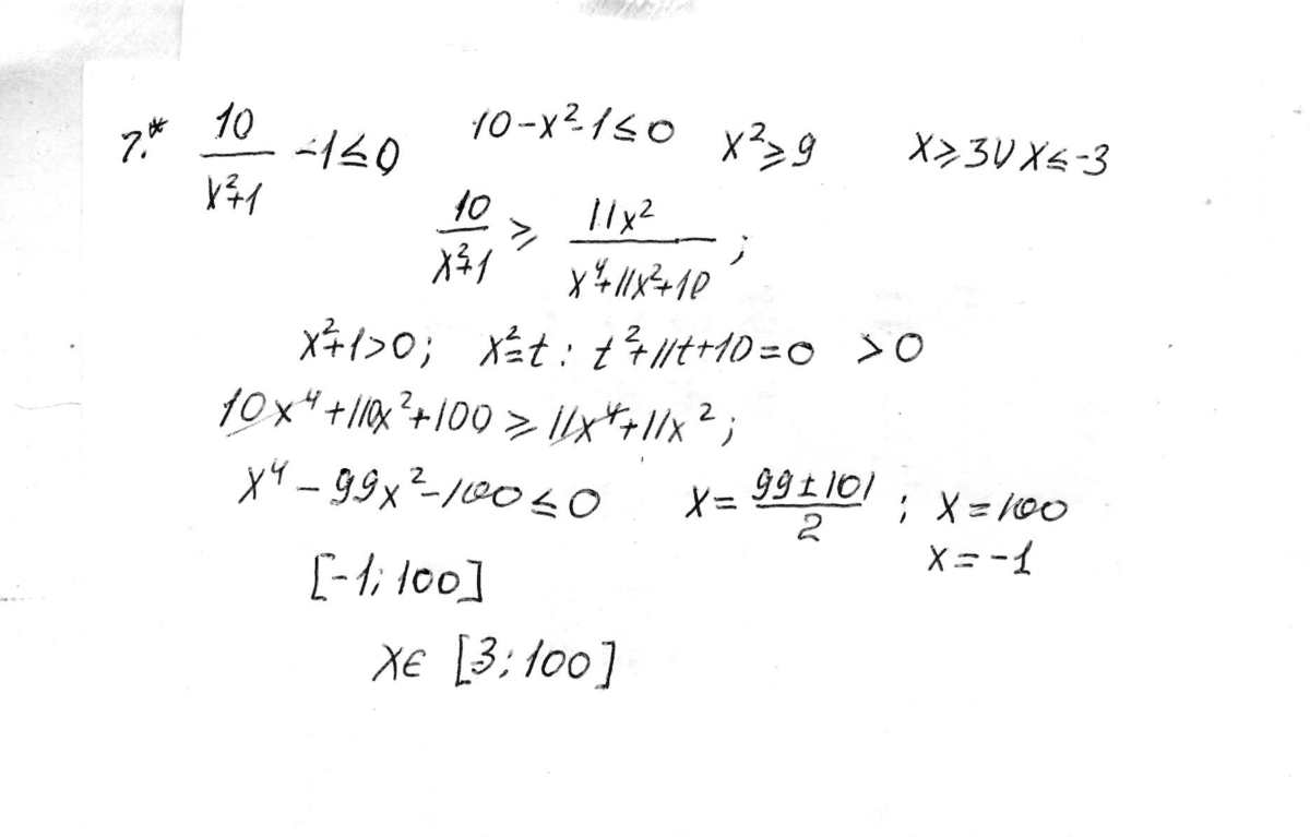
7)
[-10;-3]U[3;10]
тест 10 (только ответы)
1 ответ 1
2 ответ 3
3 ответ 2
4 ответ 3
5 ответ 8
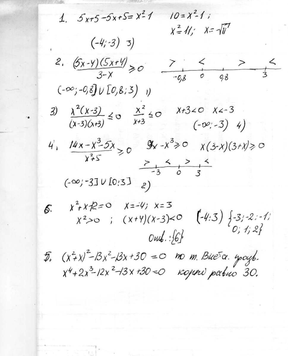
1)
5/(х-1)-5/(x+1) = 10/(x^2-1)=1;x^2=11; x=-КОРЕНЬ(11)~-3,3: ответ 3 (-4;-3)
2)
(25x^2-16)/(3-x)=25(x-0,8(x+0,8)/(3-x)>=0
проверяем методом интервалов, ответ 1
3)
ответ 3
4)
ответ 1
5)
x^2+x=3 или x^2+x=10
x1*x2=-3; x3*x4=-10
ответ 30
6) x^2+x-12<0
решения -3 -2 -1 1 2
ответ 5 целых решений
7)
[-10;-3]U[3;10]
тест 10 (только ответы)
1 ответ 1
2 ответ 3
3 ответ 2
4 ответ 3
5 ответ 8
Приложения:



Вас заинтересует
2 года назад
2 года назад
8 лет назад
8 лет назад
10 лет назад
10 лет назад
10 лет назад