Ответы
Ответ дал:
0
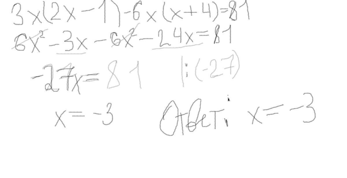
6х^2-3х-6х^2-24х=81
-27х=81
х=-3
-27х=81
х=-3
Ответ дал:
0
ответ: Х-3, ну как то так
Приложения:

Вас заинтересует
2 года назад
2 года назад
10 лет назад
10 лет назад
10 лет назад
10 лет назад