• Предмет: Математика
  • Автор: asvatolina98
  • Вопрос задан 2 года назад

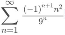
Исследовать ряд на сходимость

Приложения:

Ответы

Ответ дал: HSS9860
2

Ответ:

сходимость абсолютная

Пошаговое объяснение:

детали предоставлены во вложении.

Приложения:
Вас заинтересует