• Предмет: Алгебра
  • Автор: asvatolina98
  • Вопрос задан 2 года назад

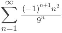
Исследовать ряд на сходимость

Приложения:

Ответы

Ответ дал: igorShap
1

1) Ряд знакочередующийся

2)

(\dfrac{n^2}{9^n})'=\dfrac{2n*9^n-n^2*9^nln9}{9^{2n}}=\dfrac{n9^n(2-nln9)}{9^{2n}}\\ (\dfrac{n^2}{9^n})'=0=>n=\dfrac{2}{ln9}\\ \left [ ln9>lne^2=2=>\dfrac{2}{ln9}<1\right ]

\lim_{n \to \infty} \dfrac{n^2}{9^n}= \lim_{n \to \infty} \dfrac{2n}{9^nln9} = \lim_{n \to \infty} \dfrac{2}{9^nln^29}=0

А значит при n \in [1;+\infty) \:\: \dfrac{n^2}{9^n} монотонно стремится к 0

Тогда ряд сходится по признаку Лейбница

Вас заинтересует