• Предмет: Геометрия
  • Автор: oksanamyha006
  • Вопрос задан 2 года назад

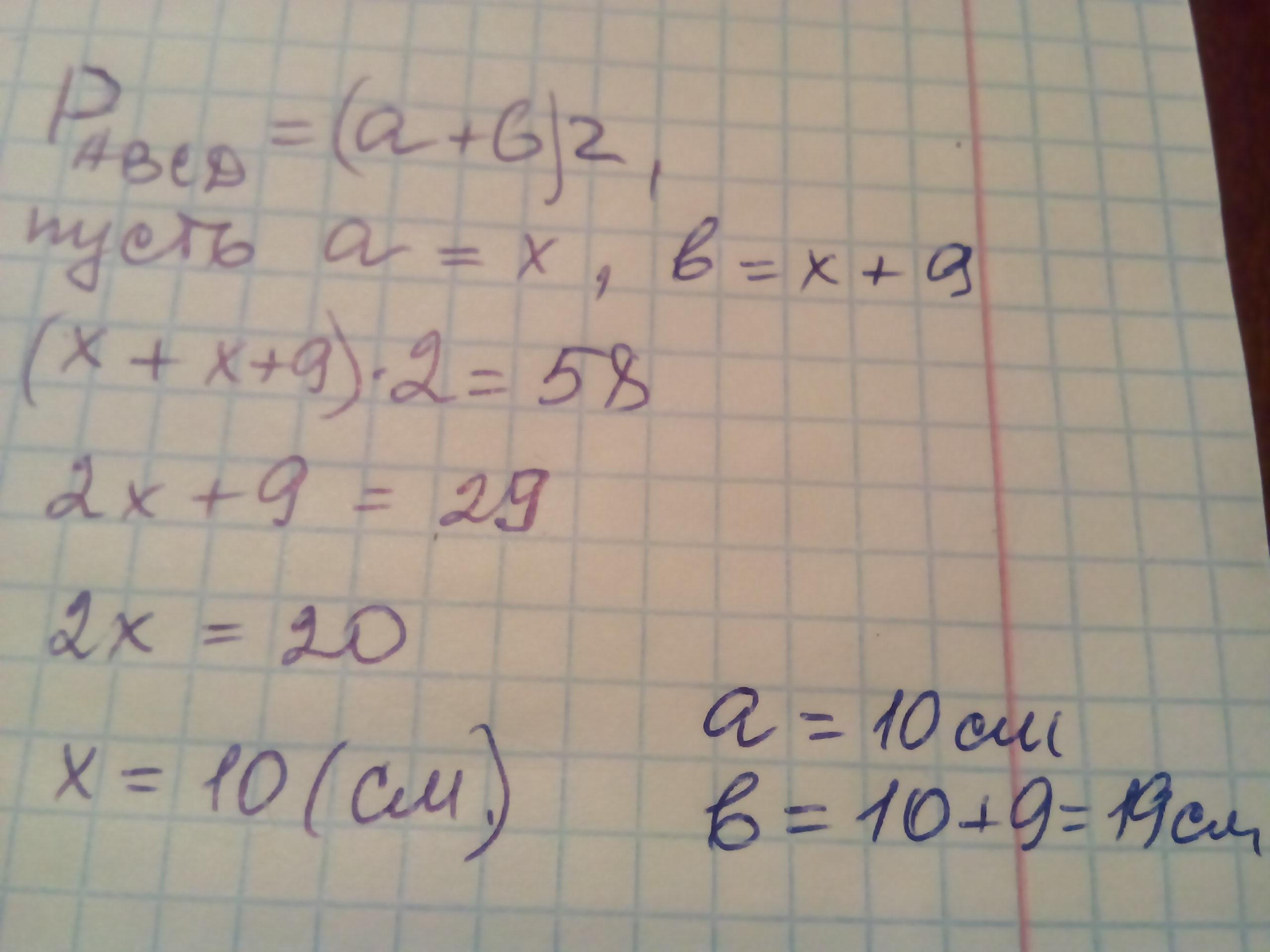
перимтр прямокутника дорівнює 58 см знайдіть його сторони якщо одна з них на 9 см більша від іншої

Ответы

Ответ дал: ivelina60
23

Ответ:10см, 19см

Объяснение: смотрите на файле

Приложения:
Вас заинтересует