• Предмет: Алгебра
  • Автор: Аноним
  • Вопрос задан 2 года назад

Всем добрый вечер. Помогите, пожалуйста. Решите уравнения) 10 класс, кому не сложно?

Приложения:

genius20: Це підручник Мерзляка?
genius20: Ці рівняння однотипні. Можу розв'язати перше, а ви за моїм зразком самі розв'яжете друге (я докладно розпишу хід думок). Піде?
Аноним: Мерзляк))) Розв'яжіть, буду дуже вдячна..
genius20: Я теж учився за цим підручником) Добре, зроблю
Аноним: Дякую!!!) Щось зовсім не розумію як це треба зробити
Аноним: Ну, то як справи? Будь ласка, допоможіть)
genius20: Розв'язав

Ответы

Ответ дал: genius20
1

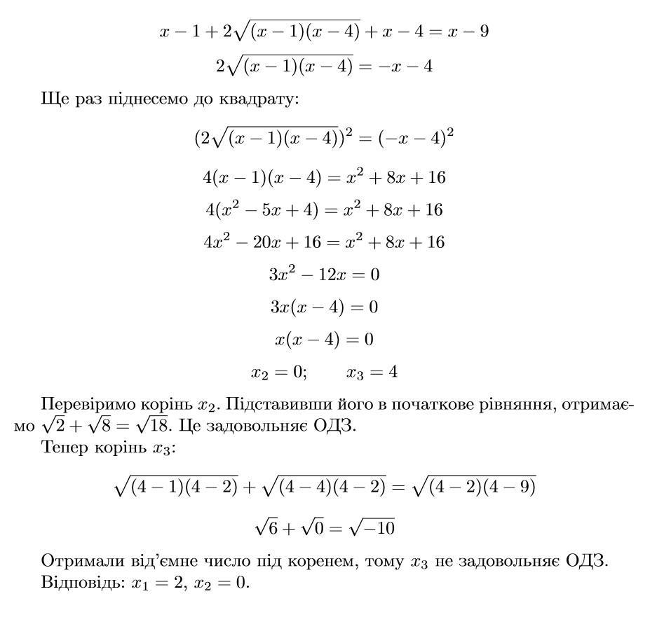
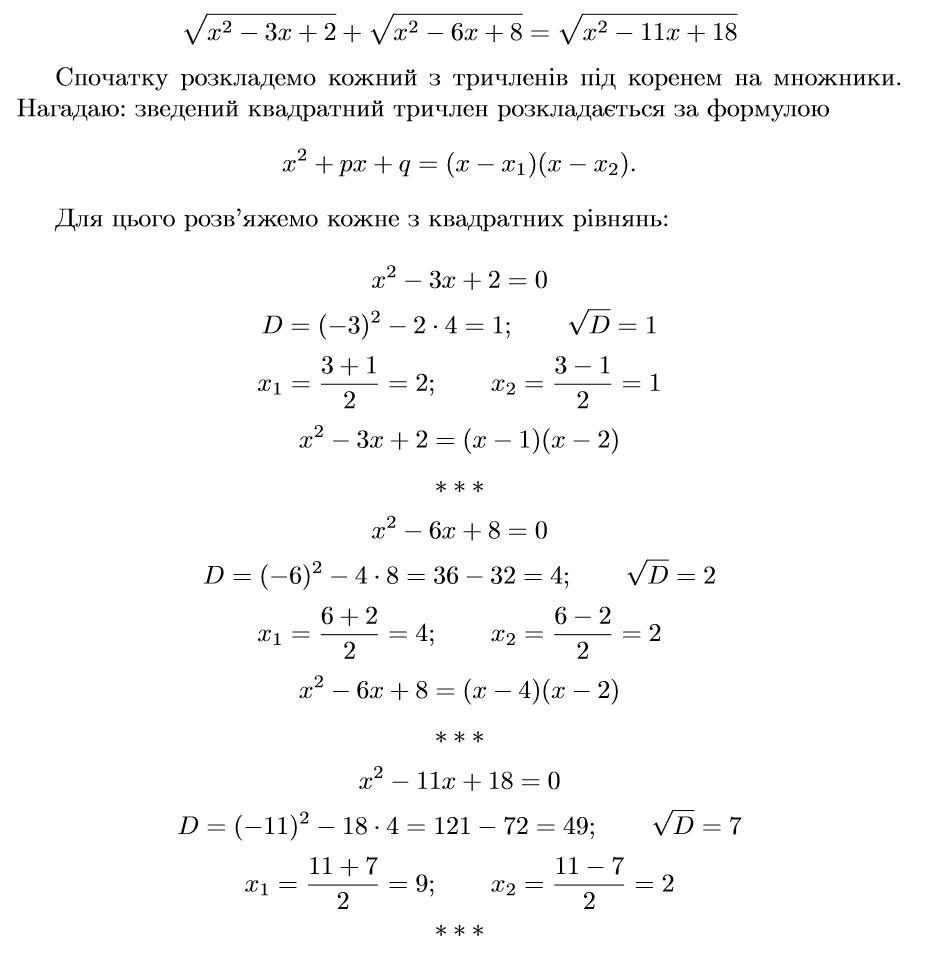
Якщо що-небудь буде незрозуміло — запитуйте.

Приложения:

Аноним: Спасибо огромноеее!! Вот это реально понятный ответ, все отлично расписано. Вы мне очень помогли)))
genius20: Будь ласка)
Вас заинтересует