Упростите выражение:
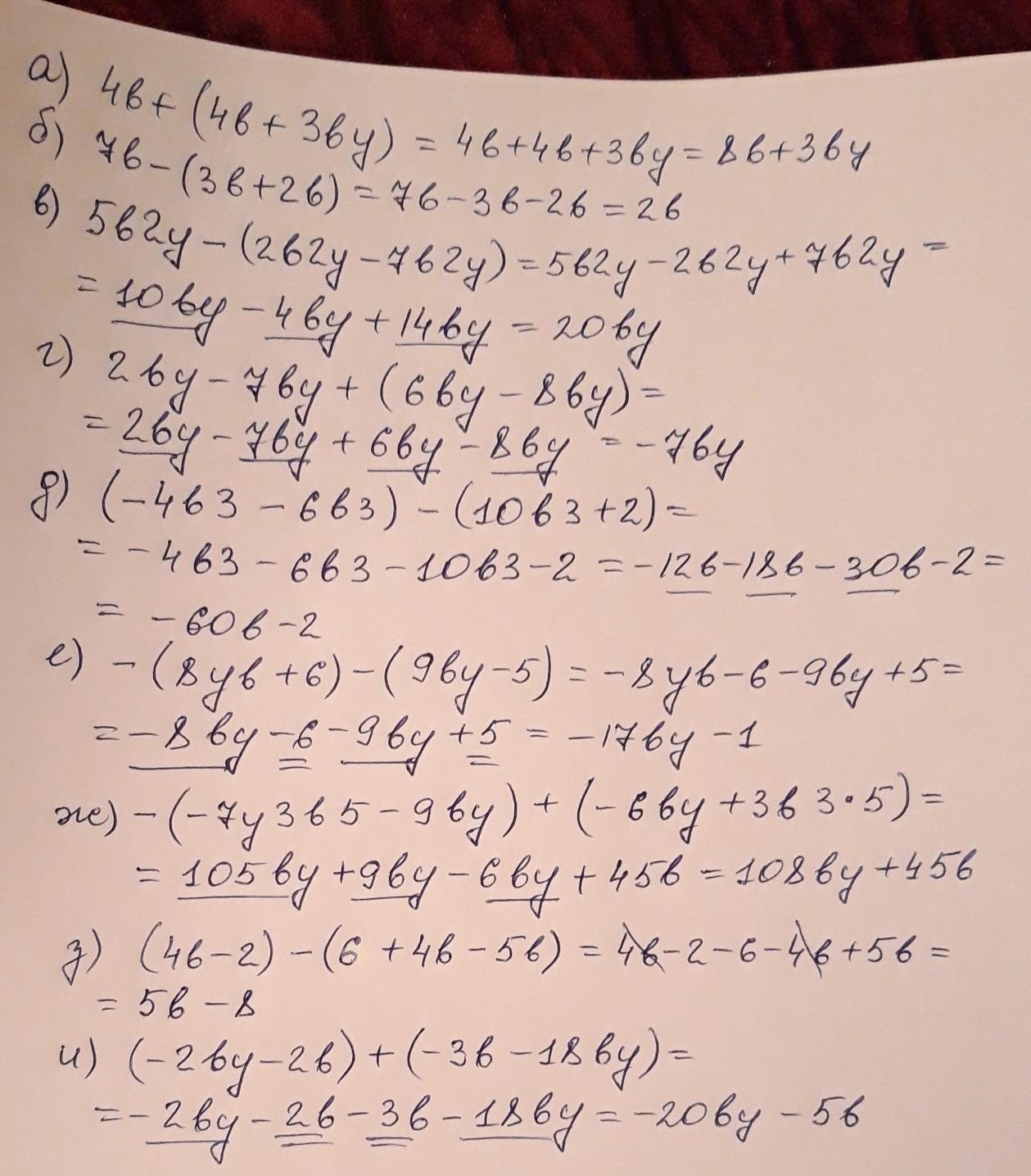
а) 4в+(4в+3ву)
б) 7в – (3в+2в)
в) 5в2у – (2в2у – 7в2у)
г) (2ву – 7ву)+(6ву – 8ву)
д) (-4в3 – 6в3) – (10в3+2)
е) - (8ув+6) – (9ву – 5)
ж) – ( -7у3в5 -9ву)+(- 6ву+3в3х5)
з) (4в -2) – (6+4в – 5в)
и) ( -2ву – 2в)+( - 3в – 18ву)
Ответы
Ответ дал:
1
Ответ:
Упростить выражение.
Приложения:

Вас заинтересует
1 год назад
1 год назад
1 год назад
1 год назад
3 года назад
3 года назад
8 лет назад
8 лет назад