• Предмет: Алгебра
  • Автор: keocidisergey
  • Вопрос задан 2 года назад

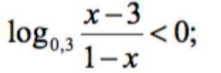
помогите,срочно!!!!!!

Приложения:

Simba2017: (x-3)(1-x) больше 1
Simba2017: это уже обычное неравенство...

Ответы

Ответ дал: kmaximovv
0
Ответ x€(1,2)
Вот решение
Приложения:
Вас заинтересует