Ответы
Ответ дал:
0
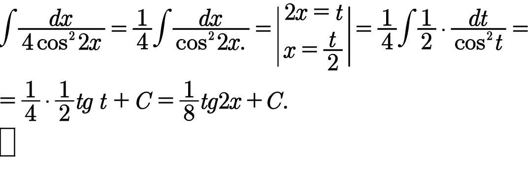
Ответ: 1/8 tg2x + C
Объяснение: во вложении.
Приложения:

Вас заинтересует
1 год назад
1 год назад
1 год назад
1 год назад
3 года назад
3 года назад
8 лет назад
8 лет назад