1. один из корней квадратного уравнения х2-21х+54=0 равен 3. найдите второй корень уравнения.
2. решите уравнение. если корней несколько , то в ответ укажите меньший из них
Приложения:

Ответы
Ответ дал:
0
1.Решим по т.Виетта
х2-21х+54=0
х1+х2=21
х1 х х2=54
х1=3
х2=18
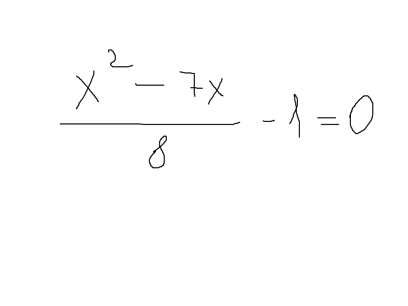
2. Приводим к общему множителю, получим
х2-7х-8=0
х1+х2= 7
х1 х х2= - 8
х1= 8
х2=(-1)
х2-21х+54=0
х1+х2=21
х1 х х2=54
х1=3
х2=18
2. Приводим к общему множителю, получим
х2-7х-8=0
х1+х2= 7
х1 х х2= - 8
х1= 8
х2=(-1)
Вас заинтересует
2 года назад
10 лет назад
10 лет назад
10 лет назад