• Предмет: Алгебра
  • Автор: dipperpositiv1
  • Вопрос задан 2 года назад


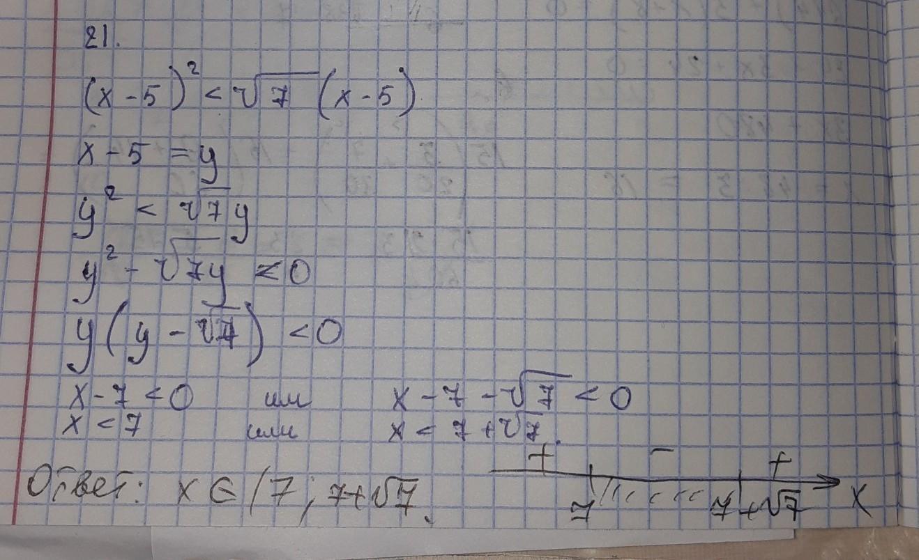
(x - 5) ^{2}  <  \sqrt{7} (x - 5)
решите неравенство​

Ответы

Ответ дал: Xologok
1

Ответ:

Ответ на фотографии. ;))))

Приложения:

rs19990809: у тебя y=x-5, а не x-7
Xologok: у меня всё верно ;))
rs19990809: уверен?))
Xologok: данное неравенство проверял учитель, это во-первых, во-вторых, это неравенство взято из ОГЭ 2020 по математике и в конце есть ответы для самопроверки, и у меня верный ответ ;))
Xologok: советую вам перепроверить
rs19990809: ты обратную замену не сделал, какие ответы ало?
Xologok: я всё сделала, попробуйте решить на листочке и убедитесь в моей правоте
Xologok: ну или хотя бы ПОСТАРАЙТЕСЬ проанализировать мое ПОДРОБНОЕ решение ;))
rs19990809: я смотрю и не понимаю откуда x-7?
rs19990809: можешь объяснить?
Ответ дал: rs19990809
1

Объяснение:

 {(x - 5)}^{2}  <  \sqrt{7} (x - 5) \\  {(x - 5)}^{2}  -  \sqrt{7} (x - 5) < 0 \\ (x - 5)(x - 5 -  \sqrt{7} ) < 0

Точки пересечения с осью Ox

x = 5 \\ x = 5 +  \sqrt{7}

Методом интервал находим отрицательные значения

x∈(5; 5+√7)


Xologok: не совсем верно, в данном случае, мы должны ввести новую переменную, т.е. озозначить (х-5) за у или любую другую переменную.))
rs19990809: это не обязательное условие
rs19990809: это для удобства
rs19990809: и для такого примера использовать замену переменной, только лишняя трата времени
Xologok: речь идёт не об удобстве и неудобстве, а о том, что у вас ответ получился неверный
Вас заинтересует