Ответы
Ответ дал:
1
Ответ:
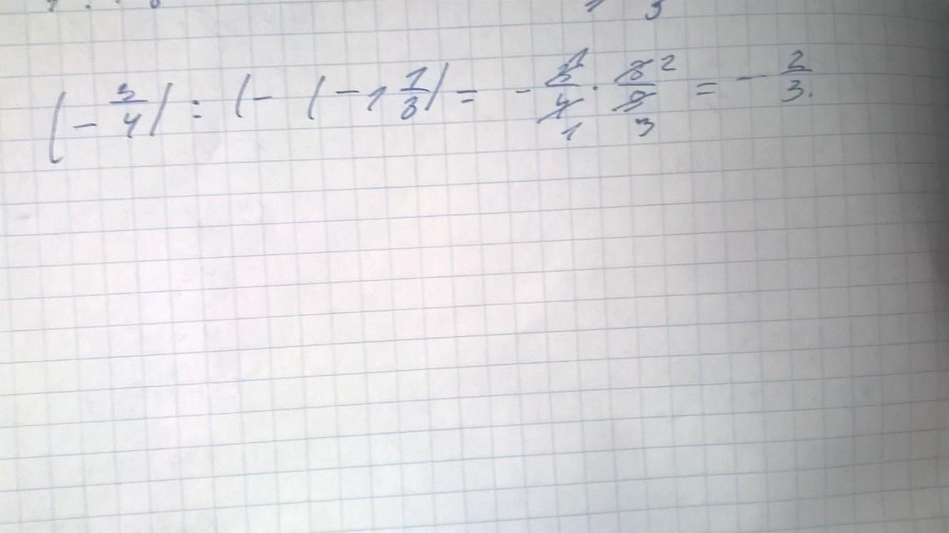
-2/3
Пошаговое объяснение:
При делении дробь переворачивается,забыл у меня не был правильный ответ
Приложения:

Ответ дал:
2
Ответ: -2/3
Пошаговое объяснение:
-3/4 : 9/8 =
= -3/4 • 8/9 =
= -2/3
Вас заинтересует
1 год назад
1 год назад
1 год назад
3 года назад
3 года назад
8 лет назад