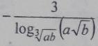
Помогите пожалуйста, решаю выражение, не получается упростить третье число.
Задание :Упростить выражение,если...
Приложения:


Ответы
Ответ дал:
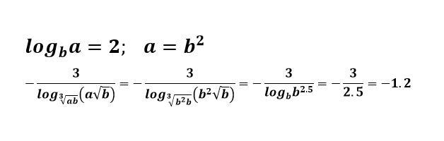
2
Ответ:
Объяснение:
-------------------------------------------------
Приложения:

Вас заинтересует
1 год назад
1 год назад
1 год назад
1 год назад