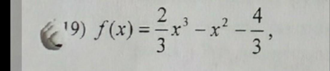
ПОМОГИТЕ ПОЖАЛУЙСТА Исследуйте функцию на экстремумы. Найти точки перегиба и интервалы выпуклости
Приложения:

Ответы
Ответ дал:
1
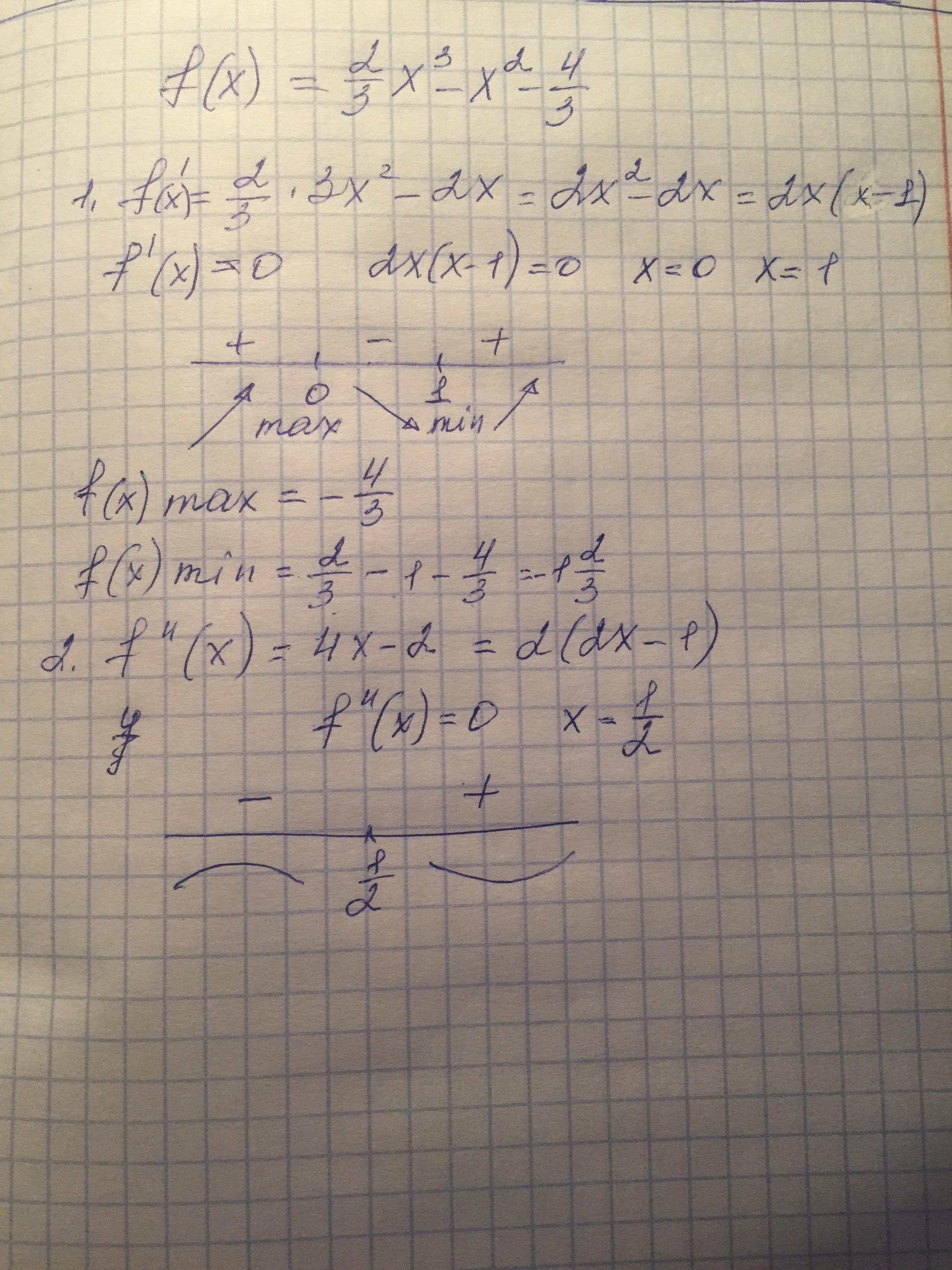
Ответ:
=========================
Пошаговое объяснение:
Приложения:

Вас заинтересует
1 год назад
1 год назад
1 год назад
3 года назад
3 года назад
8 лет назад