• Предмет: Алгебра
  • Автор: Lana2201
  • Вопрос задан 2 года назад

Очень нужна помощь
Спасибо заранее

Приложения:

Аноним: http://prntscr.com/q6344d

Ответы

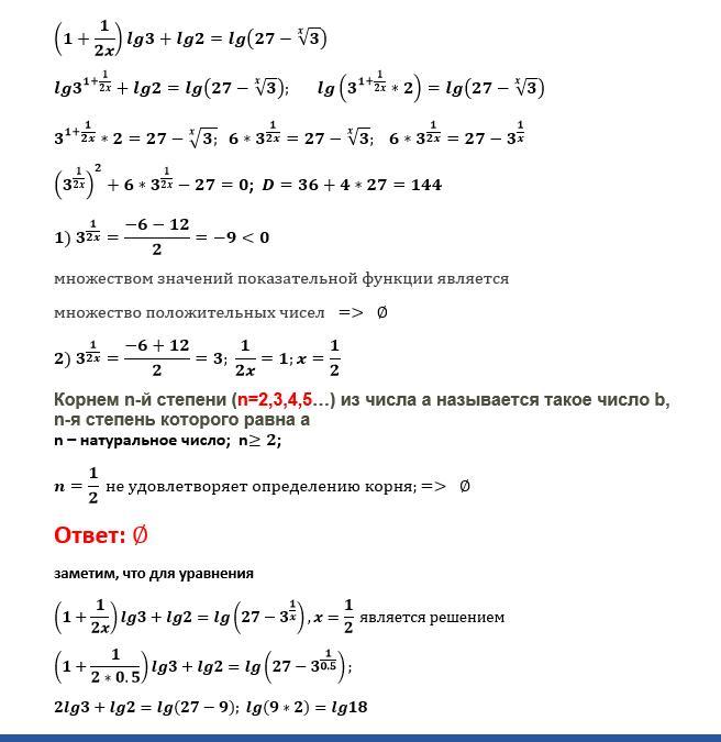
Ответ дал: Аноним
2

Ответ:

Объяснение:

----------------------------------------------

Приложения:
Вас заинтересует