• Предмет: Алгебра
  • Автор: lerataruntaeva
  • Вопрос задан 2 года назад

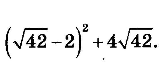
решите выражение пожалуйста ​

Приложения:

Ответы

Ответ дал: Tank11115
0

Ответ: 42 корней из 42

Объяснение:

1. Корень из 42 в квадрате это 42-4 +4 корней из 42=42корней из 42

Вас заинтересует