• Предмет: Алгебра
  • Автор: katekek23
  • Вопрос задан 2 года назад

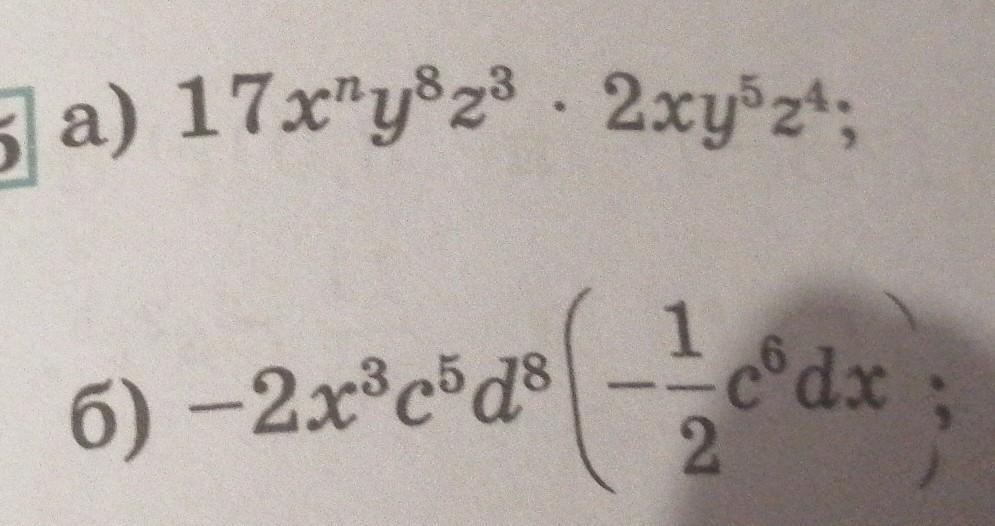
40 БАЛЛОВ!!!! АЛГЕБРА!!! Приведите выражение к одночлену стандартного вида и укажите коэффициент и буквенную часть
пожалуйста Срочно нужно​

Приложения:

Ответы

Ответ дал: Regent1828
4

\displaystyle \tt a). \ 17x^{n}y^{8}z^{3}\cdot2xy^{5}z^{4}=34x^{n+1}y^{13}z^{7};

Коэффициент одночлена: 34

буквенная часть:  \displaystyle \tt x^{n+1}y^{13}z^{7}

\displaystyle \tt b). \ -2x^{3}c^{5}d^{8}\cdot\bigg(-\frac{1}{2}c^{6}dx\bigg)=x^{4}c^{11}d^{9};

Коэффициент одночлена: 1

буквенная часть:  \displaystyle \tt x^{4}c^{11}d^{9};


aitbekova566: ❤️❤️❤️❤️❤️❤️❤️❤️
Вас заинтересует