Ответы
Ответ дал:
0
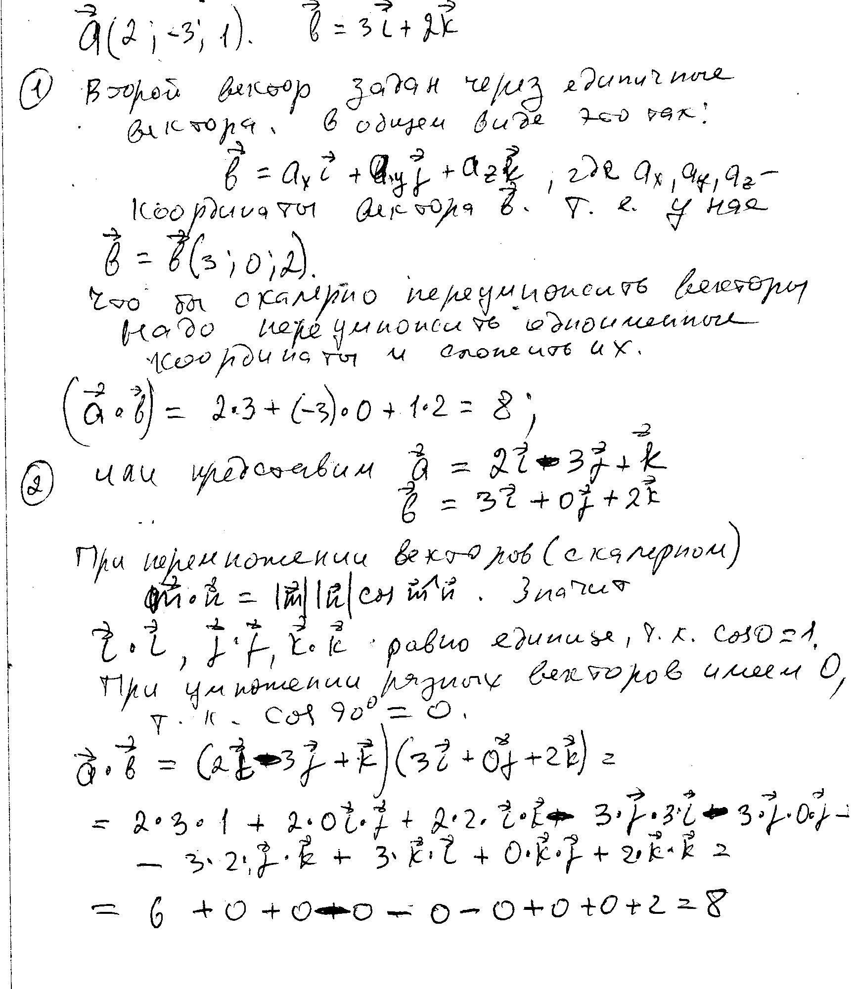
Найдите скалярное произведение векторов a и b, если а) a(2; -3; 1) и b = 3i+2k
Приложения:

Вас заинтересует
2 года назад
2 года назад
8 лет назад
10 лет назад
10 лет назад
10 лет назад