Ответы
Ответ дал:
1
Ответ:
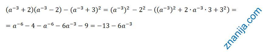
Решение в приложении.
Использованы формулы:
-Разность квадратов двух выражений
a² - b² = (a - b)(a + b);
-Квадрат суммы двух выражений;
(a + b)² = a² + 2ab + b²;
-Возведение степени в степень:
(aˣ)ⁿ = aˣⁿ ;
-Приведение подобных слагаемых.
Приложения:

Вас заинтересует
1 год назад
1 год назад
1 год назад
3 года назад